???  
 
StatLight series is the full-fledged add-in software compliant with the user-friendly version of Microsoft Excel. The group division algorithm of this software "Algorithm and program of experimental animal" was created by Dr. Haga Toshiro, and can be found in "Tanimoto School--Questions of toxicity Vol.3", published by the Scientist Company (2000). Various group divisions are handled in the same way as in the data analysis tool of Microsoft Excel.
 
For example, group division is based on 3 factors- Weight, T-CHO, ALP.
   
Add-in menu of Excel


Above Screen in Japanese only

3 data items in Excel


Above Screen in Japanese only

Menu of Group division


Above Screen in Japanese only

Exclusion process execution (annotation of screen does not display the execution result)


Above Screen in Japanese only

For the exclusion process, specify the 3 factors mentioned in the example and the number of animals, and calculate the candidate to be excluded using Euclidean distance or Mahalabino's distance. The exclusion process can be used for auto calculation by specification as well as manual operations of animal exclusion Group divisions are calculated either by random number in completely randomized design or randomized block design.
Group division-Condition Setup Screen


Above Screen in Japanese only

Group division- Calculation Result (annotation of screen does not display the execution result)


Above Screen in Japanese only


Above Screen in Japanese only

Above Screen in Japanese only
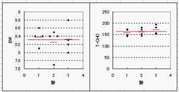
The calculation result of group division, i.e. the average of each group, the distributed data of each group after standard deviation and group division is displayed in the scatter graph.
 
Introduction
OS Windows 95 / 98 / NT / 2000 & Microsoft Excel
Compliant with Windows 95 / 98 / NT / 2000
Medium 3.5 inch floppy disk
Price 50,000 Yen (Excluding taxes)
Company names and product names mentioned in this pamphlet are the trademarks of the respective companies or registered trademarks. Published contents etc. may be upgraded or changed without prior notice.